遙遙領先的盧柏石英晶體諧振器靈敏度,為了晶體振蕩器的設計和工程成功,設計工程師必須首先了解晶體諧振器。晶體作為振蕩電路中Q值最高的元件,對環(huán)行因此,正確指定晶體對于設計良好的振蕩器至關重要。這迷你引物將涵蓋石英晶體中一些最容易被誤解的參數。
圖1顯示了石英晶體諧振器的等效電路。
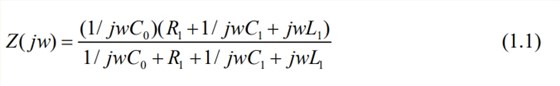
圖1:晶體符號及其單模單端口晶體諧振器等效電路
在圖1中,C1、L1和R1構成了晶體諧振器的運動臂。C0是分流器電容,主要由晶體的電極加上持有人分流電容C0是等效電路中唯一的物理值。這該參數實際上可以用一個簡單的電容表來測量。動臂另一方面,組分(C1、L1和R1)是等價的,因此不是真實的。筆記該等效物僅用于基本響應,并且附加的運動臂可以為每個泛音和雜散添加。
圖1的晶體等效電路的阻抗方程為,
方程(1.1)是復阻抗,但我們感興趣的是它的虛部,或它的電抗。圖2描述了這一點。
圖2:石英晶體的電抗與頻率的關系圖
圖2中有四個關鍵事實。首先,fs是運動電容C1抵消運動電感的頻率L1.其次,fs被稱為晶體的“串聯諧振”,用
第三,反諧振點或并聯諧振fa,是運動電感L1與C1和C0的并聯組合諧振。第四,fa表示為
許多應用需要改變晶體的頻率。一個例子是VCXO(壓控晶體振蕩器),其中需要將工作頻率調諧到或者在期望的電壓范圍內改變頻率。作為中的電容性負載與晶體串聯是變化的,晶體的頻率是拉的。頻率的這種變化負載電容CL表示為:
fL=帶負載電容的頻率
fs=串聯諧振時的頻率
C1=晶體的運動電容
Co=晶體的分流電容
注意,方程(1.4)被寫成從串聯諧振頻率到負載的Δ諧振頻率。換句話說,分數頻率從fs變?yōu)閒L。
減小負載電容的值將增加晶體的頻率。最后將達到fa的頻率,但在晶體振蕩器中應避免。這導致
(1.6)的結果是到極點的分數頻率距離,或fa到fs。這被稱為零到極間距,并設置晶體總可拉性的限制。
典型牽引曲線(1.4)的圖形表示:
圖3:方程(1.4)的曲線圖。典型晶體頻率拉動曲線與負載電容其中運動電容C1=0.01pF,分流電容C0=5pF與該晶體串聯,頻率比串聯諧振頻率高+200ppm。遙遙領先的盧柏石英晶體諧振器靈敏度.
方程(1.4)關于CL的一階導數導致
晶體制造商將晶體給定負載電容的方程式(1.7)稱為“微調敏感性”。圖4是“微調靈敏度”的圖示。
圖4:方程(1.7)的曲線圖。典型的晶體微調靈敏度與負載電容,
其中運動電容C1=0.01pF
分流電容C0=5pF。
At a CL of 10pF, TS = -22.22 PPM/pF. At a CL = 20pF, TS = -8 PPM/pF.
微調靈敏度方程(1.7)為如何選擇負載提供了重要見解晶體的電容值。如果設計者的目標是制造一個固定頻率的振蕩器在微處理器應用程序中,則他/她選擇一個大的負載電容值,如18-22pF。如果設計者想要拉動晶體,那么他/她選擇一個小的負載電容值如9pF至14pF。
所有晶體都有許多共振響應(見圖5)。第一個主要響應稱為“基礎”。在它的右邊,是下一個主要的回應,是第三序曲,然后是5.第th個泛音,等等。只有奇怪的泛音。泛音響應不是諧波基本面。根據定義,諧波是較低頻率的精確倍數。對于例如,第三序曲通常是基頻的2.8到3.2倍。所以晶體沒有諧波,只有泛音。
原廠編碼
型號
頻率
頻率穩(wěn)定度
頻率容差
負載電荷
工作溫度
AS-24.000-18-SMD-TR
AS-SMD
24 MHz
±50ppm
±30ppm
18pF
-20°C ~ 70°C
AS-6.000-12-2020-EXT-SMD-TR
AS-SMD
6 MHz
±20ppm
±20ppm
12pF
-40°C ~ 85°C
RH100-25.000-10-F-3030-EXT-TR
RH100
25 MHz
±30ppm
±30ppm
10pF
-40°C ~ 85°C
RH100-12.000-18-2020-EXT-TR
RH100
12 MHz
±20ppm
±20ppm
18pF
-40°C ~ 85°C
RH100-25.000-13-F-0715-EXT-TR-NS1
RH100
25 MHz
±15ppm
±7ppm
13pF
-40°C ~ 85°C
AS-16.000-18-SMD-TR
AS-SMD
16 MHz
±50ppm
±30ppm
18pF
-20°C ~ 70°C
AS-11.0592-18-SMD-TR
AS-SMD
11.0592 MHz
±50ppm
±30ppm
18pF
-20°C ~ 70°C
RH100-16.000-16-3030-EXT-TR
RH100
16 MHz
±30ppm
±30ppm
16pF
-40°C ~ 85°C
RH100-24.000-9-1015-EXT-TR
RH100
24 MHz
±15ppm
±10ppm
9pF
-40°C ~ 85°C
RH100-32.000-16-F-1015-EXT-TR
RH100
32 MHz
±15ppm
±10ppm
16pF
-40°C ~ 85°C
RH100-40.000-9-F-1010-EXT-TR
RH100
40 MHz
±10ppm
±10ppm
9pF
-40°C ~ 85°C
RH100-48.000-8-F-1015-EXT-TR
RH100
48 MHz
±15ppm
±10ppm
8pF
-40°C ~ 85°C
RH100-12.000-20-2030-TR
RH100
12 MHz
±30ppm
±20ppm
20pF
-20°C ~ 70°C
RH100-11.0592-18-3030-EXT-TR
RH100
11.0592 MHz
±30ppm
±30ppm
18pF
-40°C ~ 85°C
RH100-25.000-18-F-TR
RH100
25 MHz
±100ppm
±100ppm
18pF
-20°C ~ 70°C
RH100-26.000-10-F-1010-EXT-TR
RH100
26 MHz
±10ppm
±10ppm
10pF
-40°C ~ 85°C
RH100-12.000-12-1010-X-TR-NS2
RH100
12 MHz
±10ppm
±10ppm
12pF
-30°C ~ 85°C
RH100-25.000-18-F-2030-EXT-TR
RH100
25 MHz
±30ppm
±20ppm
18pF
-40°C ~ 85°C
RH100-48.000-10-F-1015-EXT-TR
RH100
48 MHz
±15ppm
±10ppm
10pF
-40°C ~ 85°C
R38-32.768-12.5
R38
32.768 kHz
-
±20ppm
12.5pF
-20°C ~ 70°C
R26-32.768-12.5
R26
32.768 kHz
-
±20ppm
12.5pF
-40°C ~ 85°C
RH100-12.000-20-3030-EXT-TR
RH100
12 MHz
±30ppm
±30ppm
20pF
-40°C ~ 85°C
RH100-12.000-18-2020-TR
RH100
12 MHz
±20ppm
±20ppm
18pF
-20°C ~ 70°C
RH100-24.000-18-2030-EXT-TR
RH100
24 MHz
±30ppm
±20ppm
18pF
-40°C ~ 85°C
RH100-12.000-12-1010-EXT-TR
RH100
12 MHz
±10ppm
±10ppm
12pF
-40°C ~ 85°C
RH100-12.000-9-1015-TR-NS1
RH100
12 MHz
±15ppm
±10ppm
9pF
-20°C ~ 70°C
RH100-25.000-16-F-2020-EXT-TR
RH100
25 MHz
±20ppm
±20ppm
16pF
-40°C ~ 85°C
RH100-24.000-8-1010-EXT-TR
RH100
24 MHz
±10ppm
±10ppm
8pF
-40°C ~ 85°C
RH100-25.000-18-F-1010-TR
RH100
25 MHz
±10ppm
±10ppm
18pF
-20°C ~ 70°C
RH100-16.000-8-1010-TR
RH100
16 MHz
±10ppm
±10ppm
8pF
-20°C ~ 70°C
RH100-25.000-10-F-1010-EXT-TR
RH100
25 MHz
±10ppm
±10ppm
10pF
-40°C ~ 85°C
檢查圖5,注意到晶體在某些頻率點上的行為就像電阻器如在其它頻率區(qū)域的電感器或電容器。
連接到晶體的電路拓撲結構決定了在哪里操作晶體。在其他換句話說,電路迫使晶體進入基本、平行、泛音或串聯模式。請參閱以下定義。
“負載電容”:SMD晶振的頻率將根據電容而變化與晶體串聯的電抗。因此,設計者必須指定電容值需要將晶體校準到頻率。典型值在9-32 pF之間;18-20pF是最常見的。負載電容有效地與晶體串聯放置,從來沒有穿過它。
“平行晶體”:在一個感應區(qū)域校準到所需頻率的晶體,晶體的電抗曲線。由于它是一個區(qū)域,設計者必須準確地確定
他/她需要水晶進行操作的區(qū)域。區(qū)域中的精確點由負載電容的值。
“串聯晶體”:在上的一個電阻點校準到所需頻率的晶體的電抗曲線。電阻點可以在基波上,也可以是泛音響應。無負載電容需要指定,因為它是一個操作點而不是一個區(qū)域。
“基礎晶體”:設計并校準到所需頻率的石英晶振最低的主共振響應。基本晶體可以校準為“系列”或“平行”。
“Overtone Crystal”:在除基礎。Overtone水晶可以校準為“串聯”或“并聯”。
“等效串聯電阻(E.S.R)”:晶體在串聯諧振時的電阻為簡單地說是運動阻力R1。在平行共振區(qū)域,其值增加到:
因此,E.S.R是晶體在平行諧振區(qū)域中的電阻或損耗。
注意,重要的是要理解,每個晶體都能夠在基本或任何泛音模式,在串聯和并聯諧振。這只是一個匹配水晶的問題制造商的校準條件適用于周圍電路.


進口愛普生晶振FA-20H,Q24FA20H00005水晶振動子
EPSON愛普生晶振C-2,Q12C20001000600水晶振動子
SMD-49無源諧振器,KDS日本晶體,1AJ250004B兩腳無源晶振